【静電気】コンデンサの静電容量
|一問一答 理論

 

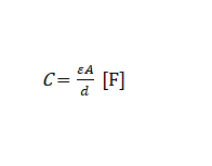
問題

【コンデンサの静電容量Q1】.png

解答はこちら

【コンデンサの静電容量A1】.png

この内容の詳しい解説は “みんなが欲しかった電験三種 理論の教科書・問題集” 「静電気」を確認!